주메뉴 바로가기
본문 내용 바로가기
TOP
이용안내
통합안내
배우고싶다
일하고싶다
도움받고싶다
마을에서복지관
강남메타버스체험관
강남실버센터(요양원)
데이케어센터
편의시설안내
이달의 메뉴
안전보건
개인정보처리방침
소식
복지관 공지사항
채용공고
예산공고
요양센터 공지사항
언론보도
자료실
사진첩
고객의 소리
어르신작품
명예의 전당
나눔활동
후원
자원봉사
복지관소개
인사말
법인소개
연혁
기관개요
ESG경영
조직도
찾아오시는 길
사이트맵
검색
홈페이지
패밀리 사이트
이용안내
통합안내
배우고싶다
평생교육사업
평생교육시간표
일하고싶다
고령자취업알선사업
노인일자리사업
도움받고싶다
재가복지사업
상담사업
건강증진사업
마을에서복지관
지역복지활성화사업
시니어종합상담사업
강남메타버스체험관
메타버스체험관
예약일정
강남실버센터(요양원)
데이케어센터
편의시설안내
이달의 메뉴
안전보건
개인정보처리방침
소식
복지관 공지사항
채용공고
예산공고
요양센터 공지사항
언론보도
자료실
소식지
복지정보지
공유자료
사진첩
고객의 소리
어르신작품
명예의 전당
복지관 회원
직원
나눔활동
후원
자원봉사
복지관소개
인사말
법인소개
연혁
기관개요
ESG경영
조직도
찾아오시는 길
사이트맵
대표 홈페이지
보건소
생활·복지
스마트복지관
자원순환 종합포털
강남복지재단
대치노인복지관
역삼재가노인데이케어센터
강남지역자활센터
역삼노인복지관
압구정노인복지관
강남노인종합복지관
논현노인종합복지관
강남구청소년상담복지센터
강남장애인복지관
강남시니어플라자
강남구가족센터
강남구정신건강복지센터
강남세움복지관
강남구수어통역센터
강남발달장애인평생교육센터
청소년심리지원센터사이쉼
강남구웰에이징센터
강남힐링센터
교육·경제
평생학습
강남인강
강남구여성능력개발센터
강남청년누리
강남일원독서실
역삼청소년센터
일자리통합지원센터
강남구신중년디지털일자리센터
문화·관광
VISIT GANGNAM
MEDICAL GANGNAM
강남문화재단
강남구 통합예약사이트
강남구립도서관
강남구의회
강남구의회
강남구청소년의회
동주민센터
개포1동
개포2동
개포3동
개포4동
논현1동
논현2동
대치1동
대치2동
대치4동
도곡1동
도곡2동
삼성1동
삼성2동
세곡동
수서동
신사동
압구정동
역삼1동
역삼2동
일원본동
일원1동
청담동
이용안내
이용안내
열기
통합안내
배우고싶다
일하고싶다
도움받고싶다
마을에서복지관
강남메타버스체험관
강남실버센터(요양원)
데이케어센터
편의시설안내
이달의 메뉴
안전보건
개인정보처리방침
소식
소식
열기
복지관 공지사항
채용공고
예산공고
요양센터 공지사항
언론보도
자료실
사진첩
고객의 소리
어르신작품
명예의 전당
나눔활동
나눔활동
열기
후원
자원봉사
복지관소개
복지관소개
열기
인사말
법인소개
연혁
기관개요
ESG경영
조직도
찾아오시는 길
사이트맵
전체메뉴 닫기
소식
소식
복지관 공지사항
채용공고
예산공고
요양센터 공지사항
언론보도
자료실
소식지
복지정보지
공유자료
사진첩
고객의 소리
어르신작품
명예의 전당
복지관 회원
직원
강남노인종합복지관 >
소식 >
복지관 공지사항
복지관 공지사항
구분선
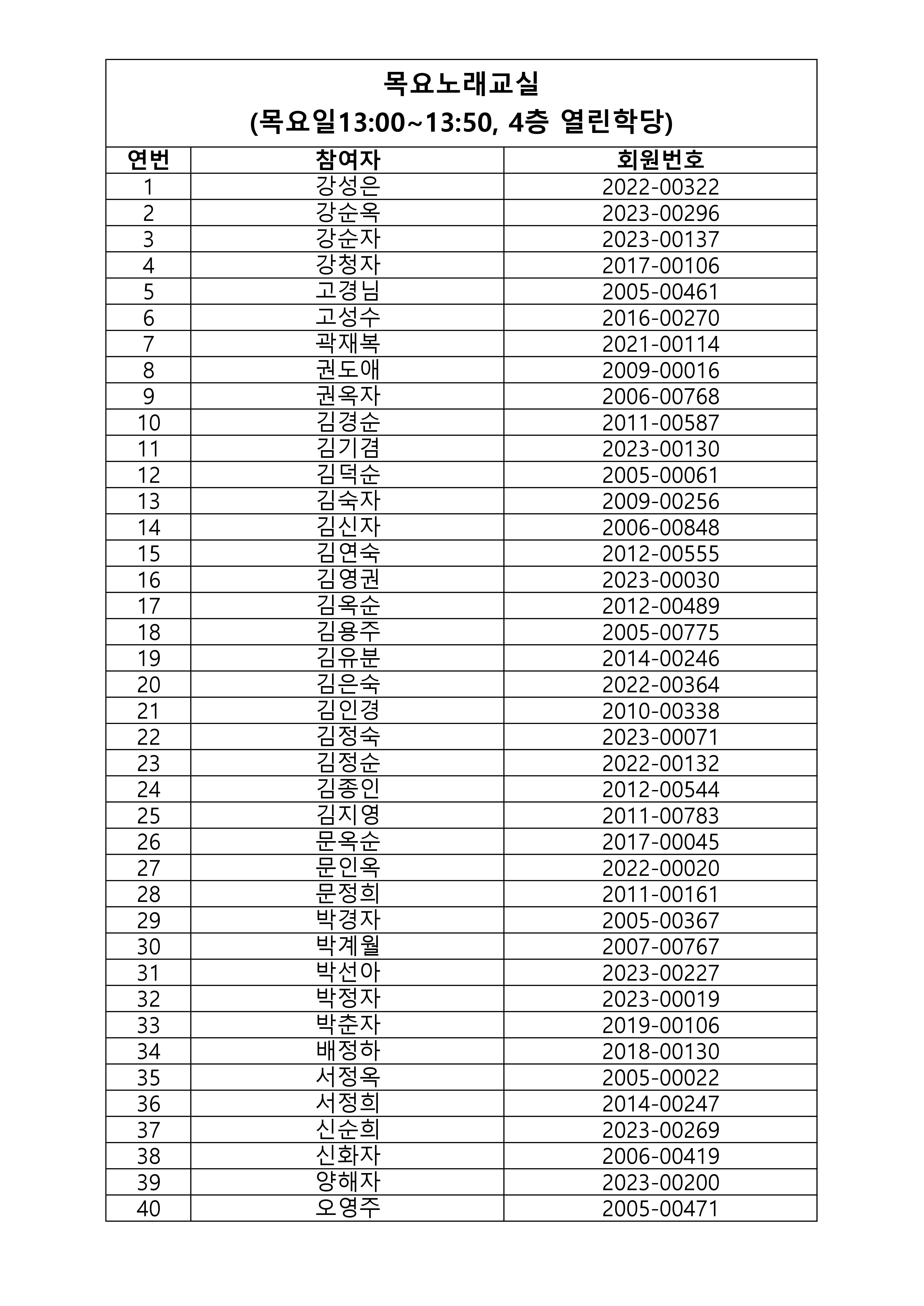
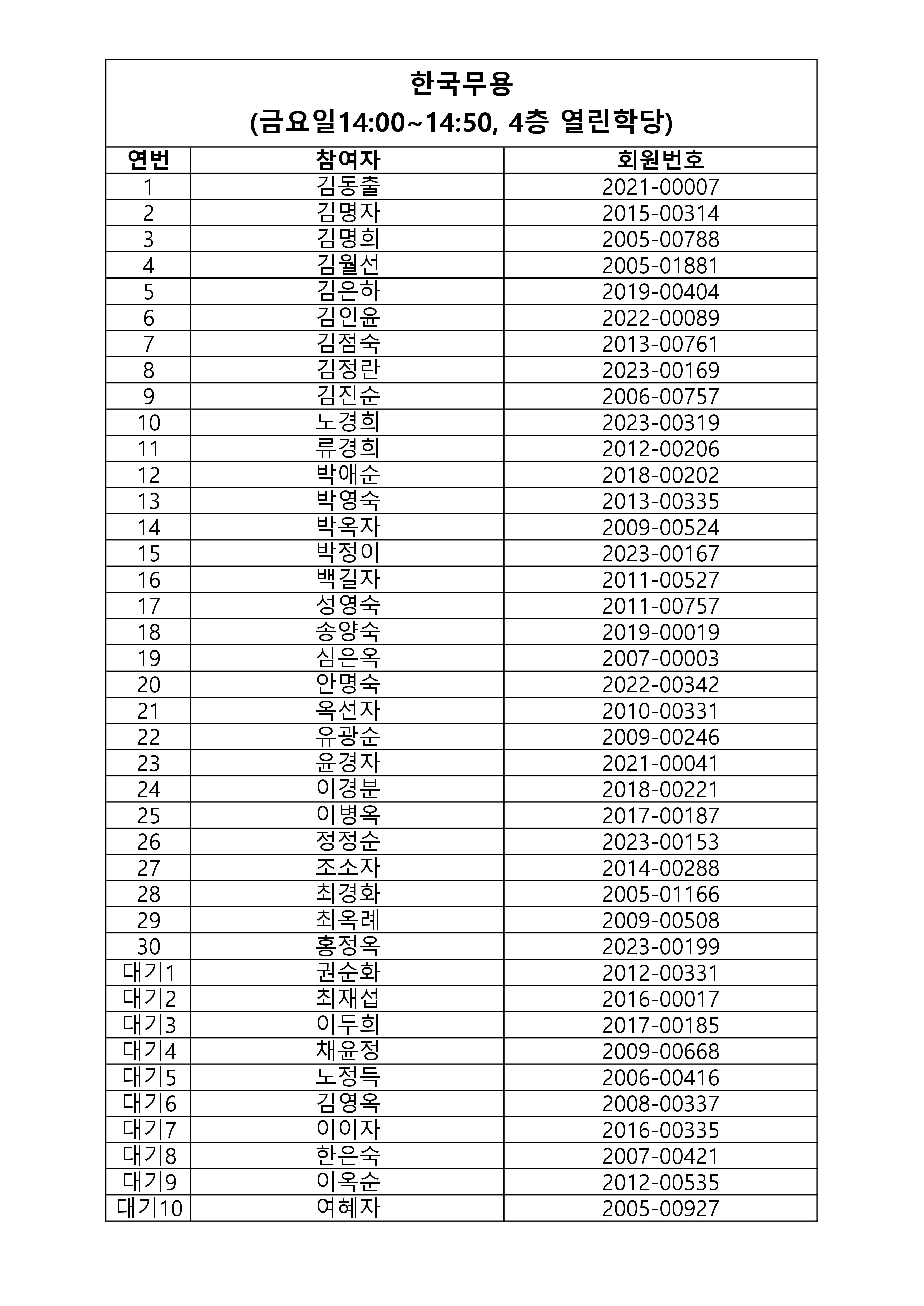
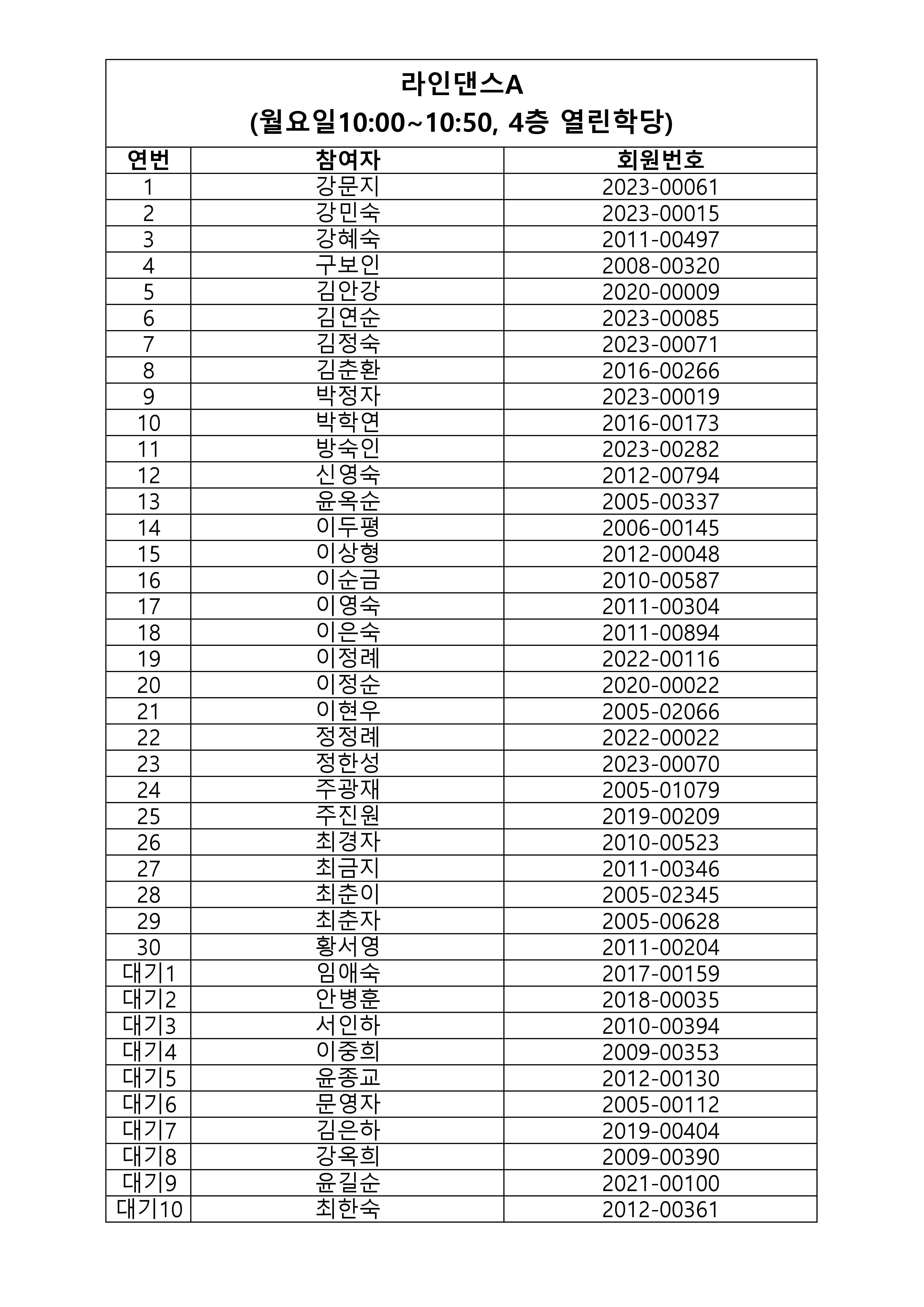
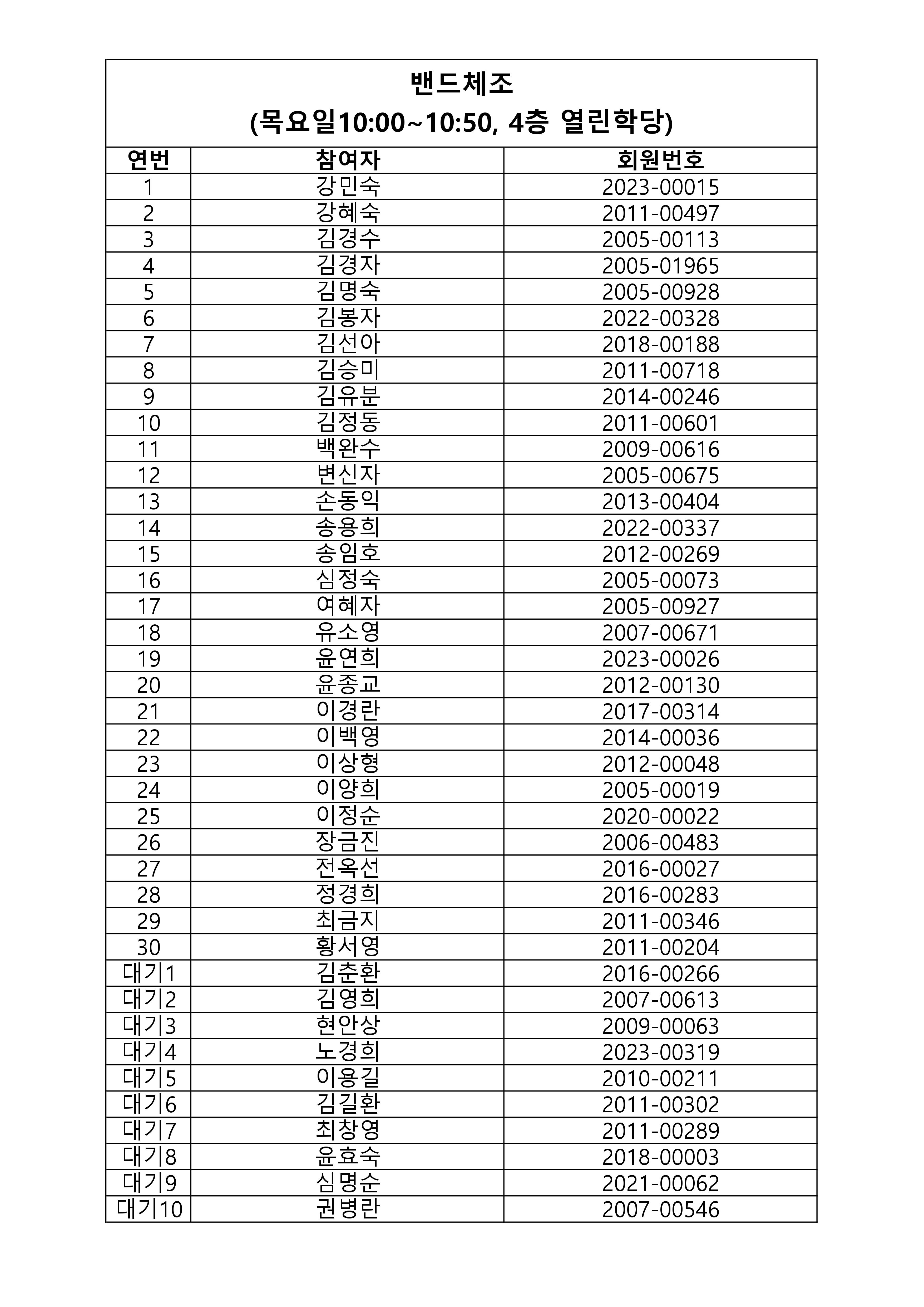
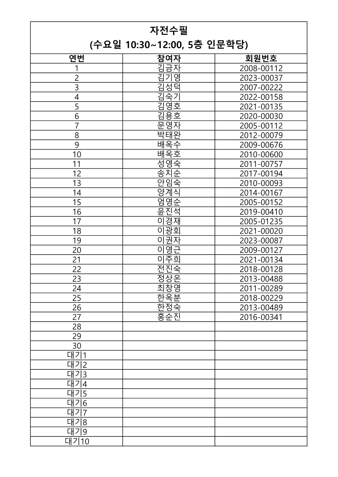
[평생교육] 2023년 3분기 및 하반기 강남아카데미 프로그램 추첨 결과 안내
2023-07-25
조회수
4227
안녕하세요. 강남노인종합복지관 평생교육팀입니다.
2023년 3분기 및 하반기 강남아카데미 프로그램 추첨 결과를 아래와 같이 안내드리오니 확인부탁드립니다.
감사합니다.
목록
다음글
제1회 행복서포터즈 후원회 장학금_어깨동무 지원 안내문
이전글
23년 기능보강사업 실시안내(4층화장실 리모델링)
관련사이트 바로가기
×
이용안내
통합안내
배우고싶다
평생교육사업
평생교육시간표
일하고싶다
고령자취업알선사업
노인일자리사업
도움받고싶다
재가복지사업
상담사업
건강증진사업
마을에서복지관
지역복지활성화사업
시니어종합상담사업
강남메타버스체험관
메타버스체험관
예약일정
강남실버센터(요양원)
데이케어센터
편의시설안내
이달의 메뉴
안전보건
개인정보처리방침
소식
복지관 공지사항
채용공고
예산공고
요양센터 공지사항
언론보도
자료실
소식지
복지정보지
공유자료
사진첩
고객의 소리
어르신작품
명예의 전당
복지관 회원
직원
나눔활동
후원
자원봉사
복지관소개
인사말
법인소개
연혁
기관개요
ESG경영
조직도
찾아오시는 길
사이트맵
로그인